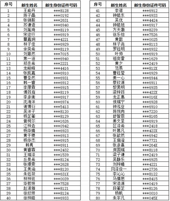
根据《2022年广州市白云区义务教育阶段学校招生指引》和《广州市白云区2022年义务教育阶段学校招生计划》,现将我校2022年人户一致一年级新生录取名单公示如下:

温馨提醒:
1. 6月25日,派发录取通知单。请家长凭孩子的身份证(未办身份证的可凭身份证办理回执或孩子的出生证、户口本)到白云外国语小学校签领孩子的录取通知书;
2. 6月25日,新生注册(学校在招生系统上完成注册操作);
3. 8月25日-26日,因特殊原因逾期未参加小学招生报名的户籍适龄儿童,按规定递交补报名申请。
广州市白云区白云外国语小学
2022年6月9日